Уважаемые студенты!
С 27 июля 2020 года в общежитии РГГУ начинаются ремонтные работы по замене ВСЕХ деревянных окон и канализационных труб (стояков) в блоках.
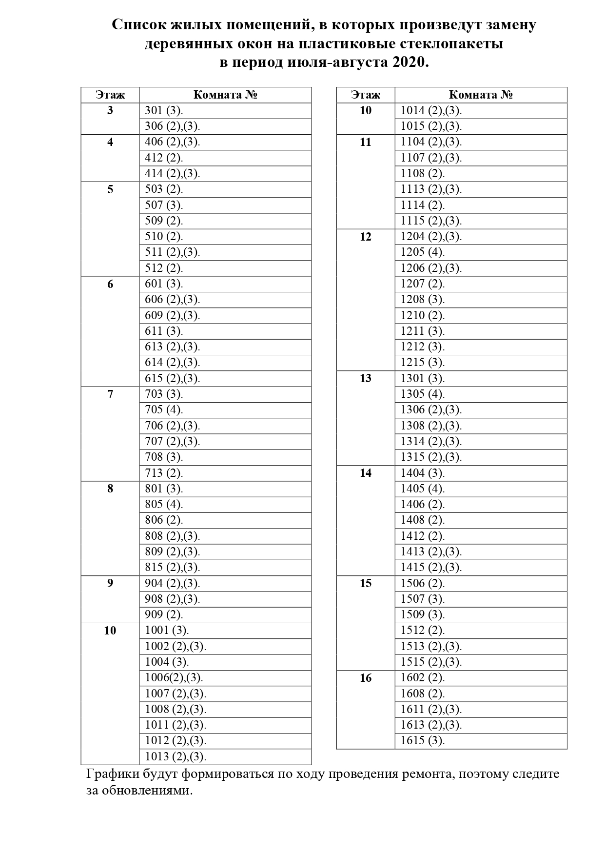
График замены окон утверждается на одну неделю. Со списком комнат, в которых будет произведена замена окон, можно ознакомиться ниже. Во избежание повреждения личных вещей проживающим необходимо заранее освободить пространство возле окна, чтобы ничего не ограничивало доступ для рабочих. Также необходимо, чтобы при замене окон в комнате находился хотя бы один проживающий. Если по тем или иным причинам никто не сможет присутствовать с 9:00 до 22:00 в день замены окна в соответствии с графиком, просьба сообщить об этом по электронной почте: hostel@rggu.ru, либо по телефону: +7 (495) 250-63-99.

Обращаем ваше внимание, что для замены канализационных труб (стояков) в общежитии поэтапно согласно графику будет полностью ОТКЛЮЧЕНО горячее и холодное ВОДОСНАБЖЕНИЕ.


На время ремонта будут доступны общие санузлы на первом и втором этажах. За подробной информацией обращаться в администрацию общежития.
Графики будут формироваться по ходу проведения ремонта, поэтому следите за обновлениями.
Администрация общежития и Управление по работе со студентами делают все возможное, чтобы ускорить завершение ремонтных работ.
Приносим извинения за временные неудобства!
Мы меняемся к лучшему!
Управление по работе со студентами